Для решения проблемы частотно-селективных замираний в канале и ограничений аппаратной реализации широкополосных мультиантенных систем миллиметрового диапазона предлагается гибридный алгоритм формирования луча в цифровом режиме, сочетающий технологию выравнивания в частотной области с одной несущей. Коэффициенты матрицы формирования луча и эквалайзера оптимизируются на основе минимальной среднеквадратичной погрешности выходного сигнала эквалайзера. Чтобы снизить сложность решения, применяется итеративный метод обучения антенной решетки для разбивки исходной задачи оптимизации на локальные задачи оптимизации на базовой станции и абонентской стороне, так что коэффициенты, которые необходимо оптимизировать, могут быть сведены к минимуму путем чередующейся итеративной алгоритмической обработки на обоих концах канала связи. Моделирование показывает, что предложенный новый алгоритм обеспечивает выигрыш в производительности по отношению сигнал/шум примерно на 2 дБ по сравнению с обычным алгоритмом при частоте ошибок 10-4.
Что касается развития беспроводной мобильной связи, то 1-е и 2-е поколения (1G и 2G2G) удовлетворили потребности людей в голосовой связи как аналоговым, так и цифровым способами соответственно; 3-е поколение (3G) добавило поддержку услуг передачи данных; 4-е поколение (4G) сосредоточилось на удовлетворение растущих потребностей людей в услугах передачи данных; и будущее 5-е поколение (5G) будет продолжать поддерживать потребности пользователей в услугах передачи данных с более высокими скоростями передачи, но также сможет удовлетворять потребности в услугах передачи данных с более высокими скоростями. В будущем система мобильной связи 5-го поколения (5G) не только продолжит поддерживать более высокие скорости передачи пользовательских данных, но и должна будет поддерживать доступ и подключение большого количества интеллектуальных устройств для поддержки новых и разнообразных услуг, таких как "умные сети", "умные дома", "умные города"., виртуальная реальность, дистанционное образование и дистанционное медицинское обслуживание в сочетании с быстрым развитием Интернета вещей (IoT). Ожидается, что к 2020 году к беспроводным сетям будет подключено более 50 миллиардов интеллектуальных устройств, а пропускная способность беспроводных сетей будет в 1000 раз больше, чем сегодня. Чтобы обеспечить 1000-кратное увеличение пропускной способности к 2020 году, были признаны три аспекта проблемы: переход на более высокие диапазоны связи для увеличения пропускной способности, увеличение использования спектра и частотное мультиплексирование путем разграничения населенных пунктов с высокой плотностью населения.
Широкополосная связь на миллиметровых волнах очень тесно интегрирована с этими тремя измерениями: во-первых, диапазон миллиметровых волн определен в диапазоне 30-300 ГГц, что может обеспечить пропускную способность в сотни мегагерц или даже гигагерц, и это самый прямой способ решить проблему пропускной способности; во-вторых, с точки зрения в связи с расширением использования спектра крупномасштабные антенны получили широкое признание как эффективная технология, а существующие полосы частот связи не так эффективны, как существующие из-за длин волн в субметровом или сантиметровом диапазоне. Существующие диапазоны частот связи с их длинами волн на уровне дециметров или сантиметров ограничены по размеру и объему, что затрудняет создание крупномасштабных антенных решеток, в то время как естественное содержание миллиметровых волн определяет их эффективность в сочетании с крупномасштабными антеннами; и, наконец, традиционно воспринимаемые недостатки таких антенн связь на миллиметровых волнах с точки зрения высоких потерь в тракте и малой дальности передачи из-за высокой частоты стала самой сильной стороной частотного мультиплексирования в населенных пунктах с высокой плотностью населения.
В настоящее время большинство коммерчески доступных стандартов и систем связи на миллиметровых волнах ограничены внутренней связью в свободном диапазоне 60 ГГц, например, стандарты IEEE 802.15.3c [7] и 802.11ad [8]. С развитием технологий микроэлектроники и растущим спросом на услуги мобильной связи связь на миллиметровых волнах стала одним из наиболее важных вариантов применения беспроводной мобильной связи на открытом воздухе в радиусе 200 метров.
Однако характеристики распространения сигналов миллиметрового диапазона создают новые проблемы для проектирования систем. При том же коэффициенте усиления антенны миллиметровые волны имеют большие потери на пути прохождения и плохие возможности передачи и обхода по сравнению с диапазонами микроволновых частот ниже 6 ГГц [3-6]. Чтобы справиться с этой проблемой, системам миллиметрового диапазона обычно требуется установить десятки или даже сотни антенн на приемопередающем конце, чтобы сформировать решетку для получения высокого усиления в направлении, компенсирующего потери энергии при передаче. В результате конструкция с несколькими антеннами и самонастраивающимся формированием луча (BF) является первой и наиболее необходимой технологией для обеспечения покрытия микрорайона миллиметровыми волнами.
По сравнению с существующими системами мобильной связи в диапазонах частот ниже 6 ГГц широкополосные системы миллиметрового диапазона имеют три отличия и проблемы при проектировании BF: во-первых, процесс реализации многоантенной передачи данных в системе ограничен стоимостью оборудования и энергопотреблением. По сравнению с существующими системами мобильной связи, полоса пропускания в сотни мегагерц или даже гигагерц в системах mmWave значительно увеличивает стоимость оборудования и энергопотребление. Например, в случае аналого-цифрового преобразователя (АЦП) аналого-цифровой преобразователь, основанный на новейшей технологии комплементарного металл-оксид-полупроводника (КМОП) с точностью 12 бит, частотой дискретизации 100 Мс/с и поддержкой 16-канальной антенны, потребляет более 250 МВт мощности [5]. При таких ограничениях невозможно установить набор радиочастотных (RF) соединений для каждой антенны, и, следовательно, трудно внедрить полностью цифровую схему реализации практической технологии мультиантенн миллиметрового диапазона.
Во-вторых, размер антенной решетки в системах миллиметрового диапазона очень велик, и количество антенн достигает десятков или даже сотен. Использование крупномасштабных антенн увеличило свободу проектирования системы, но также усложнило задачу оптимизации матрицы BF. Наконец, по сравнению с системами мобильной связи, работающими в диапазонах частот ниже 6 ГГц, канал миллиметровых волн является более разреженным как в области задержки, так и в угловой области, что обеспечивает эффективный способ снижения сложности конструкции BF, но в то же время создает новые возможности для решения проблем [9]. Основываясь на трех вышеперечисленных моментах, исследователи предложили гибридный конвейер BF (HBF), основанный на смешанной цифроаналоговой обработке сигналов путем объединения аналоговых и цифровых схем. Технология HBF также постепенно привлекла к себе пристальное внимание как научных кругов, так и промышленности и постепенно стала ключевой технологией для связи на миллиметровых волнах.
1.Текущее состояние исследований в области HBF на миллиметровых волнах
На следующем рисунке в качестве примера показан HBF одного пользователя при передаче нескольких потоков данных с использованием нисходящей линии связи на миллиметровых волнах от базовой станции к пользователю.

Гибридная схема формирования луча в цифровом режиме на миллиметровых волнах
На приведенном выше рисунке матрицы FBB и FRF, отмеченные красным цветом, являются цифровыми и аналоговыми матрицами BF на стороне базовой станции соответственно, а матрицы WBB и WRF, отмеченные синим цветом, являются цифровыми и аналоговыми матрицами BF на стороне пользователя соответственно.
По сравнению с полностью цифровой структурой BF, обычно применяемой в существующих системах беспроводной связи в диапазоне частот ниже 6 ГГц, HBF в системах миллиметрового диапазона имеет следующие отличия и трудности: с увеличением количества антенн увеличивается размер матриц HBF, а также сложность оптимизации и вычислительных затрат. добавляется сложность; при оптимизации HBF, особенно для обработки аналоговых сигналов, необходимо учитывать последовательность реализации аналоговых схем и характеристики аналоговых устройств, таких как фазовращатель. Структура HBF создает новые проблемы при оценке каналов, поскольку каналы, которые могут быть оценены в цифровом виде, могут быть преобразованы в цифровой сигнал. домен - это каскады фактического канала воздушного порта и аналоговой матрицы BF.
Двойная разреженность передачи миллиметровых волн в области задержки и углов также создает новые проблемы для оценки канала и решения матрицы HBF. В широкополосных системах, в отличие от цифровых BFS, аналоговые BFS согласованы для всех поднесущих в полосе пропускания (или для всех частотных составляющих соответствующих сигналов в случае связи с одной несущей), поскольку они обрабатывают аналоговый сигнал после цифроаналогового преобразователя (ЦАП) и перед АЦП.
Существующие исследования по проектированию HBF были сосредоточены на моделях узкополосного затухания и оптимизированы с использованием систематической взаимной информации, т.е:

где мощность принимаемого сигнала нормализуется, а Rn определяется как ковариационная матрица шума после обработки HBF в приемнике. Как показано на рис. 1, когда аналоговый BF состоит из фазовращателя и сумматора, каждый элемент матриц FRF и WRF имеет ограничение по модулю 1 (можно оптимизировать только фазовый параметр). Существует два способа аналогичной BFS, т.е. полностью подключенный и частично подключенный, что отражается в том факте, что каждый элемент матриц FRF и WRF должен быть оптимизирован в первом конвейере, в то время как во втором конвейере он представлен в виде блочных диагональных матриц. В настоящее время существует два основных решения проблемы в уравнении. (1) Сначала исправляются WBB и WRF, а затем оптимизируются FBB и FRF, в частности:
Используя свойство разреженности угловой области канала миллиметровых волн, задача решения FBB и FRF преобразуется в задачу разреженной аппроксимации и решается с помощью алгоритма ортогонального согласованного поиска (OMP), ограничение которого заключается в том, что диапазон значений векторов столбцов в FRF соответствует на этикетках указаны пространственные углы наклона луча и степени свободы антикварных изделий. Кроме того, этот алгоритм требует полной информации о канале в процессе принятия решения.
В крупномасштабных системах MIMO может быть принято предположение, что столбцы FRF ортогональны друг другу, так что совместная оптимизация FBB и FRF может быть сведена к пошаговой оптимизации обоих. По сравнению с первым алгоритмом, этот алгоритм не зависит от разреженности канала и не требует маркировки векторов столбцов в FRF; однако этот алгоритм основан на предположении о наличии крупномасштабных антенн, и его производительность зависит от соотношения между количеством антенн, количеством радиочастотных каналов и количеством потоков данных в основной полосе частот. Этот алгоритм также требует полной информации о канале.
Основываясь на узкополосном HBF, исследователи предлагают алгоритм широкополосного HBF в сочетании с мультиплексированием с ортогональным частотным разделением (OFDM) для борьбы с частотно-избирательными замираниями в широкополосных каналах миллиметрового диапазона, а цель оптимизации расширена, чтобы максимизировать суммарную скорость передачи по нескольким поднесущим.

включенный в число этих
![]()
Обратите внимание, что в отличие от цифровых BF-матриц FBB[k] и WBB[k], которые связаны с индексным номером поднесущей k, значения аналоговых BF-матриц FRF и WRF не зависят от индексного номера поднесущей k. Матрицы HBF FRF и WRF не связаны с индексным номером поднесущей k, но они связаны с индексным номером поднесущей. Существующее решение проблемы в уравнении. (2) продолжает конструктивную идею HBF в условиях узкополосного затухания, но еще предстоит выяснить, является ли предположение о том, что аналогичные матрицы BF ограничены в форме меток в узкополосных условиях или имеют приблизительную ортогональную природу [11], или же это приблизительная оптимальность в сценариях широкополосной связи. быть дополнительно доказанным. Кроме того, существующие широкополосные алгоритмы по-прежнему требуют полной информации о состоянии канала, что еще больше снижает полезность алгоритмов.
2.HBF в широкополосных системах миллиметрового диапазона с одной несущей
Выравнивание в области единой несущей частоты (SC-FDE) и OFDM в настоящее время признаны основными технологиями, которые могут эффективно бороться с частотно-избирательными замираниями в канале [16-17]. SC-FDE был принят в качестве схемы передачи по восходящей линии связи в рамках партнерского проекта 3-го поколения (3GPP) в соответствии со стандартом долгосрочной эволюции (LTE)/расширенного стандарта LTE (LTE-A) в связи с более низким соотношением пиковой и средней мощности передаваемого сигнала при использовании канала передачи с одной несущей. стандарт (LTE-A).
В широкополосных системах связи на миллиметровых волнах приходится жертвовать точностью аналого-цифрового преобразования, чтобы поддерживать полосу пропускания в сотни мегагерц или даже в несколько гигагерц, исходя из соображений стоимости реализации и энергопотребления устройства. Модуляция с одной несущей имеет относительно небольшой динамический диапазон сигнала по сравнению с модуляцией с несколькими несущими, что снижает требования к точности аналого-цифрового квантования. На следующем рисунке показано сравнение производительности BER между одной несущей и несколькими несущими (например, OFDM) при различной точности аналого-цифрового квантования с четырехфазной фазовой манипуляцией (QPSK) и квадратурной амплитудной модуляцией (QAM) с 16 символами в гауссовом канале, и можно видеть, что: OFDM предъявляет более высокие требования к точности аналого-цифрового измерения. С этой точки зрения, одна несущая может наилучшим образом сбалансировать производительность и аппаратное обеспечение для достижения требований к сложности, что делает ее одним из наиболее важных кандидатов для микрообласти миллиметровых волн.
В настоящее время существует несколько исследований алгоритма HBF для широкополосного диапазона миллиметровых волн в сочетании с SC-FDE. В этой статье мы рассмотрим пример сценария с одной радиочастотной линией связи и единым потоком данных, чтобы проиллюстрировать моделирование и решение задачи оптимизации высокочастотного диапазона для широкополосной системы миллиметрового диапазона с одной несущей.

Сравнение производительности систем с одной и несколькими несущими с конечной аналого-цифровой точностью (гауссовский канал)
2.1 Системное моделирование
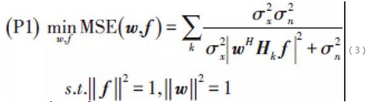
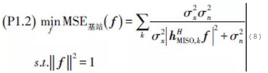
В сценарии с одним радиочастотным каналом задача оптимизации HBF на рис. 1 вырождается в задачу оптимизации с аналогичными векторами BF на рис. 1. 3. Разница заключается в том, что после аналогового BF на базовой станции и у пользователя исходный канал частотно-селективного замирания с несколькими входами и несколькими выходами (MIMO) с воздушным портом преобразуется в канал частотно-селективного замирания с одним входом и одним выходом (SISO) в основной полосе частот, который должен пройти процедуру выравнивания частотной области (FDE). Для решения этой проблемы мы предлагаем гибридную цифро-аналоговую обработку сигналов, которая сочетает в себе аналоговый BF и цифровой FDE и в то же время совместно оптимизирует коэффициенты аналогового BF и цифрового FDE на основе критерия минимизации среднеквадратичной ошибки (MSE) выходных сигналов FDE.

Аналоговое формирование луча на миллиметровых волнах в едином канале передачи несущей волны
.Определите векторы BF базовой станции и пользователя как f и w соответственно, тогда частотная характеристика эквивалентного канала SISO в основной полосе частот будет равна wHHkf, где Hk - матрица отклика канала на k-й частотной составляющей. Взяв в качестве примера линейный FDE, можно получить оптимальные коэффициенты FDE с использованием критерия минимальной среднеквадратичной ошибки (MMSE) вместе с соответствующими MSE, которые, очевидно, являются функциями f и w. Можно показать, что на основе критерия MMSE частотная характеристика канала SISO, эквивалентного основной полосе частот, равна wHHkf. Можно показать, что задача оптимизации HBF с одной несущей на основе критерия MMSE может быть смоделирована следующим образом:

включенный в число этих

![]()
мощность сигнала и шума соответственно. Задача оптимизации (P1) представляет собой невыпуклую задачу, оптимальное решение которой трудно получить, а прямое решение также требует знания полной информации о канале Hk. Возможный метод оптимизации заключается в том, что пользователь сначала оценивает матрицу каналов, а затем получает субоптимальное решение для f и w на основе определенного арифметического закона, а затем передает результат f обратно на базовую станцию. Однако этот метод не подходит для систем миллиметрового диапазона волн, поскольку большая диаграмма направленности антенны усложняет оценку канала. Кроме того, поскольку для оценки канала недостаточно усиления антенны и пространственного разнесения, отношение принимаемого пользователем сигнала к шуму (SNR) очень низкое, и для того, чтобы гарантировать качество оценки канала, необходимо использовать более длинные обучающие последовательности, что увеличивает время обучения время и затраты на обучение.
Чтобы решить эту проблему, мы применяем метод итеративного обучения антенной решетки (IAT), как показано на рис. 4, чтобы использовать преимущества взаимодействия между восходящим и нисходящим каналами в режиме дуплексной связи с разделением по времени (TDD), фиксируя векторы BF на одном конце линии связи и оптимизируя векторы BF на другом конце, так что исходная задача превращается в локальную задачу субоптимизации на другом конце линии связи. два конца BS и абонент, а затем оптимизируйте проблему, чередуя IAT, чтобы векторы BF на обоих концах могли в конечном итоге сойтись к полному домену или вектору BF абонента. Затем векторы BF на обоих концах оптимизируются путем чередования итерационных операций, так что векторы BF на обоих концах могут быть сведены к глобальному или локальному оптимальному решению. Преимущество метода IAT заключается в том, что сложность оценки канала может быть снижена с O(NtNrL) до O(NtL + NrL), где Nt, Nr представляют количество антенн на базовой станции и у абонента соответственно, а L представляет длину многолучевого канала.
Хотя алгоритм BF, основанный на IAT, очень привлекателен в плане снижения сложности оценки канала, все еще существуют значительные трудности при разработке конкретного алгоритма, например, какие цели оптимизации следует выбрать? Можно ли разложить исходную задачу оптимизации на две задачи дополнительной оптимизации? Можно ли доказать терпкость и т.д. Мы показали, что задача (P1) может быть сведена к двум локальным задачам субоптимизации на базовой станции и абонентском конце с использованием конвейера IAT и в конечном итоге может привести к субоптимальному решению исходной задачи [19]. Прежде чем подробно описать этапы решения, мы сначала рассмотрим в разделе 2.2 традиционный алгоритм итеративной декомпозиции по собственным значениям, основанный на технологии IAT, целью оптимизации которого является общая мощность канала.
2.2 Традиционный алгоритм
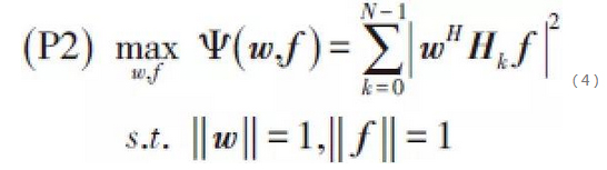
В системах миллиметрового диапазона, использующих единственную радиочастотную линию, в литературе [13], [20] предлагается аналогичный широкополосный алгоритм BF с одной несущей с целью оптимизации для максимизации общей мощности эквивалентного многолучевого канала SISO. Задача оптимизации может быть смоделирована следующим образом:

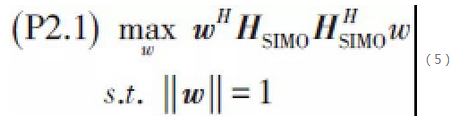
Для решения задачи оптимизации (P2), основанной на технологии IAT, исходная задача вырождается в следующую задачу дополнительной оптимизации на стороне клиента, учитывая вектор BF передачи f на базовой станции:

Собственный вектор, соответствующий максимальному собственному значению матрицы. Где HSIMO = [hSIMO, 0...hSIMO, N -1], hSIMO, k = Hkf - эквивалентный канал с одним входом и несколькими выходами (SIMO) от входа радиочастотной линии базовой станции к антенной решетке абонента. Можно показать, что оптимальным решением задачи оптимизации является

Similarly, when given the user's transmit BF vector w, the sub-optimisation problem that exists at the base station side is:

where HSIMO = [hSIMO, 0...hSIMO, N -1],
является эквивалентным каналом с несколькими входами и одним выходом (MISO) от антенной решетки базовой станции до выхода пользовательской радиочастотной линии. Задача субоптимизации с имеет ту же форму. Оптимальным является MISO
Собственный вектор, соответствующий максимальному собственному значению матрицы.
Описанная выше конструкция BF направлена на максимизацию общей мощности канала без учета эффекта избирательного затухания эквивалентной частоты канала SISO. По сравнению с этим традиционным алгоритмом, предложенный нами критерий проектирования, направленный на минимизацию MSE выходных сигналов эквалайзера, может лучше соответствовать конечному целевому показателю производительности системы при передаче.
2.3 Новый алгоритм
В разделе 2.1 мы предлагаем новый алгоритм, который объединяет аналогичный BF с цифровым FDE для совместной оптимизации и основан на критерии минимизации MSE выходного сигнала FDE. Комбинируя принцип IAT (показан на рис. 4), мы декомпозируем исходную задачу следующим образом: когда вектор BF f фиксирован на базовой станции, проблема оптимизации вырождается в проблему субоптимизации w на стороне клиента. В частности, в виде уравнения:

Схема оптимизации итеративных вычислений на основе IAT
Similarly, when the user fixes w as the transmitting BF vector in the uplink, the optimisation problem (P1) can again be degraded to a sub-optimisation problem of f at the base station end, i.e., based on the reciprocity of the TDD uplink and donwnlink chanels:

Мы показываем, что путем последовательной итерационной алгоритмической оптимизации между (P1.1) и (P1.2) в конечном итоге можно свести значения f и w к локально оптимальному решению исходной задачи (P1). Оптимизированные задачи (P1.1) и (P1.2) по-прежнему являются невыпуклыми, и получить глобальное оптимальное решение сложно. Мы можем использовать классический алгоритм градиентного спуска для получения локального оптимального решения задачи.
Поскольку (P1.1) и (P1.2) являются невыпуклыми задачами, может ли алгоритм градиентного спуска дать лучшее локально оптимальное решение, зависит от выбора начального вектора. Начальная точка задачи локальной оптимизации может быть получена путем решения аппроксимации (или верхней и нижней границы) исходной задачи. Можно обнаружить, что целевая функция в задаче (P1) может рассматриваться как величина, обратная суммарному среднему значению нескольких подпроектов, и, согласно неравенству Коши, они больше или равны величине, обратной их среднему арифметическому, и оптимизация этого среднего арифметического составляет в соответствии с целевой функцией (P2) и, следовательно, эффективным способом выбора начальных значений (P1.1), (P1.2) является использование решения задачи (P2).
2.4 Результаты моделирования
Канал MIMO на k-й частотной составляющей может быть смоделирован следующим образом:

где NC и NR обозначают количество кластеров путей в канале и количество путей в каждом кластере соответственно
обозначают угол горизонтального излучения (AOD) и угол горизонтального прихода (AOA) m-го тракта в l-м кластере, соответственно, а αl, m обозначают комплексное усиление передачи m-го тракта в l-м кластере,
Векторы отклика антенны базовой станции и абонента представлены соответственно [14-15]. В моделировании BTS и абонент оснащены линейной антенной решеткой, состоящей из 16 антенн, разнесенных на половину длины волны, и каждый блок данных содержит 64 символа QPSK.
На рис. 5 показаны кривые производительности обычного алгоритма, нацеленного на максимизацию общей мощности канала, и нового алгоритма, нацеленного на MMSE при различных SNR. Для справедливости общее количество итераций IAT установлено равным 6 для обоих алгоритмов. В новом алгоритме, согласно описанию в разделе 2.3, результат после двух итераций обычного алгоритма используется в качестве исходного вектора нового алгоритма при моделировании, поэтому первые две обработки IAT нового алгоритма такие же, как и у обычного алгоритма. Из рис. На рис. 5 видно, что новый алгоритм способен обеспечить более высокий коэффициент пространственного разнесения, чем традиционный алгоритм. Например, новый алгоритм имеет коэффициент усиления по ОСШ примерно на 2 дБ по сравнению с обычным алгоритмом при BER=10-4. Кроме того, мы также рассматриваем фазовращатель с конечными битами квантования для реализации BF в реальной системе, который работает на основе оригинального алгоритма, сохраняя только фазовую часть каждого элемента вектора BF в каждой итерационной операции и устанавливая постоянную фиксацию режима. Инжир. На рис. 5 показана производительность BER, когда точность квантования фазы составляет Q=4 бита. Видно, что оба алгоритма имеют некоторую потерю производительности из-за конвейерной реализации фазовращателя конечной точности, но новый алгоритм по-прежнему имеет значительный выигрыш в производительности по сравнению с традиционным алгоритмом.

Скорость передачи данных с ошибками в новых и традиционных алгоритмах при различных соотношениях сигнал/шум
На рис. 6 сравнивается производительность BER нового алгоритма с производительностью традиционного алгоритма при различных итерационных операциях, где SNR зафиксирован на уровне -4 дБ. Из рисунка видно, что, поскольку новый алгоритм использует две итерационные операции традиционного алгоритма для получения исходных векторов, оба алгоритма имеют одинаковую производительность для первых двух итерационных операций, но прирост производительности традиционного алгоритма очень ограничен начиная с 3-го раза, в то время как новый алгоритм использует две итерационные операции для получения исходных векторов. производительность алгоритма на 3-й итерации примерно на порядок выше благодаря таргетингу MMSE и быстро снижается на последующих итерациях. Однако, начиная с 3-й итерации, прирост производительности традиционного алгоритма очень ограничен, в то время как прирост производительности нового алгоритма очень ограничен. На 3-й итерации из-за целенаправленного использования MMSE производительность BER быстро увеличивается на порядок, а затем быстро сходится на следующем уровне. последующие итерации.

Скорость передачи данных об ошибках в производительности нового алгоритма и существующего алгоритма с разным временем итерации
3.Заключение
Связь на миллиметровых волнах - это ключевая технология, которая может гарантировать значительное увеличение пропускной способности для 5G и даже для будущего нового поколения беспроводных систем мобильной связи, а технология HBF - важный исследовательский вопрос, позволяющий системам на миллиметровых волнах использовать преимущества своих крупномасштабных антенных решеток для преодоления эффектов передачи потери мощности и затухание канала при учете как стоимости аппаратной реализации, так и энергопотребления. В этой статье, основанной на обзоре результатов существующих исследований в области высокочастотных частот миллиметрового диапазона, мы предлагаем конструктивную идею совместной оптимизации SC-FDE и HBF для каналов миллиметрового диапазона с частотно-избирательным замиранием и аппаратными ограничениями системы на радиочастотную связь, а также ставим задачу оптимизации высокочастотных частот миллиметрового диапазона в рамках трубопровод передачи с одной несущей, основанный на критерии минимизации MSE равновесия канала. При решении проблемы, учитывая сложность оценки, выполняемой крупномасштабными многолучевыми каналами MIMO, мы применяем метод IAT для разбивки исходной задачи на две локальные задачи дополнительной оптимизации как на базовой станции, так и на стороне пользователя, и используем преимущества взаимодействия между восходящим и нисходящим каналами TDD, а конвейер, обрабатываемый чередующимися и итеративными операциями, может гарантировать, что локальные оптимальные решения могут быть сходимы на обоих концах. Результаты численного моделирования показывают, что новый алгоритм может обеспечить прирост производительности в SNR более чем на 2 дБ по сравнению с традиционным алгоритмом.
В нашей будущей работе мы расширим системную модель единой радиочастотной линии связи и единого потока данных, упомянутую в статье, на сценарий с несколькими радиочастотными линиями связи и несколькими потоками данных и разработаем алгоритм HBF для этого сценария, используя метод IAT. Мы также рассмотрим возможность использования двойной разреженности канала миллиметровых волн в области задержки и угла в многопользовательском сценарии, используя многопользовательский MSE в качестве оптимизированного показателя производительности и применяя методы IAT для разработки эффективных алгоритмов гибридного многопользовательского доступа в цифровом режиме в миллиметровом диапазоне для повышения производительности. возможность многопользовательского пространственного доступа к системе. Кроме того, большинство существующих исследований HBF предполагают идеальную оценку канала, точное аналого-цифровое преобразование и высокоточные фазовращатели, но на самом деле неидеальный характер этих параметров или устройств повлияет на производительность системы, и изучение надежной конструкции HBF также имеет важное значение. большое значение и практическая ценность. Наконец, алгоритм HBF на основе IAT основан на взаимодействии восходящего и нисходящего каналов в режиме TDD, и в реальной системе существует несоответствие характеристик устройств восходящего и нисходящего каналов, поэтому вопрос о том, как выполнить более эффективную калибровку канала, также является важным вопросом, заслуживающим изучения.